Proximity
...and the problem, and the wider view...
For anyone who’s followed this substack for a little while, I’ve looked at data directly derived from recording shots, loosely based around strokes gained. There are two elephants in the room. The first will appear looking at this data, as it’s based on proximity to the hole not proximity to target. So you can tell that I don’t follow Scott Fawcett’s Decade or Edoardo Molinari’s processes of tracking to a target. I probably should, and if there’s one thing I could do it would be to improve target selection, and yes I probably should Decade, but my answer is often I’m not a pro, and with life where it is, it’s difficult to justify spending money there when in reality, any spare money is best spent playing. I should do better and hopefully one day that situation will be better!
Anyway, there’s a post that comes up on X/Twitter a lot within golf circles. Whether you should lay up to a distance, or get as close as possible. Lou Stagner and Jon Sherman have posted about it this weekend!
Lou’s content is fantastic, and he’s well worth checking out!
I wondered what my own stats looked like to see if I could answer the question. I do have the data, but not quite in the right form. However, I can start to answer the question for myself using two key sets of information:
So… looking at distance bins, it is pretty clear that in the 2022-2023 season there is a very simple relationship. The closer that I am to the hole, the closer I finish to the hole having played the shot. It isn’t rocket science, nor is it brain surgery!
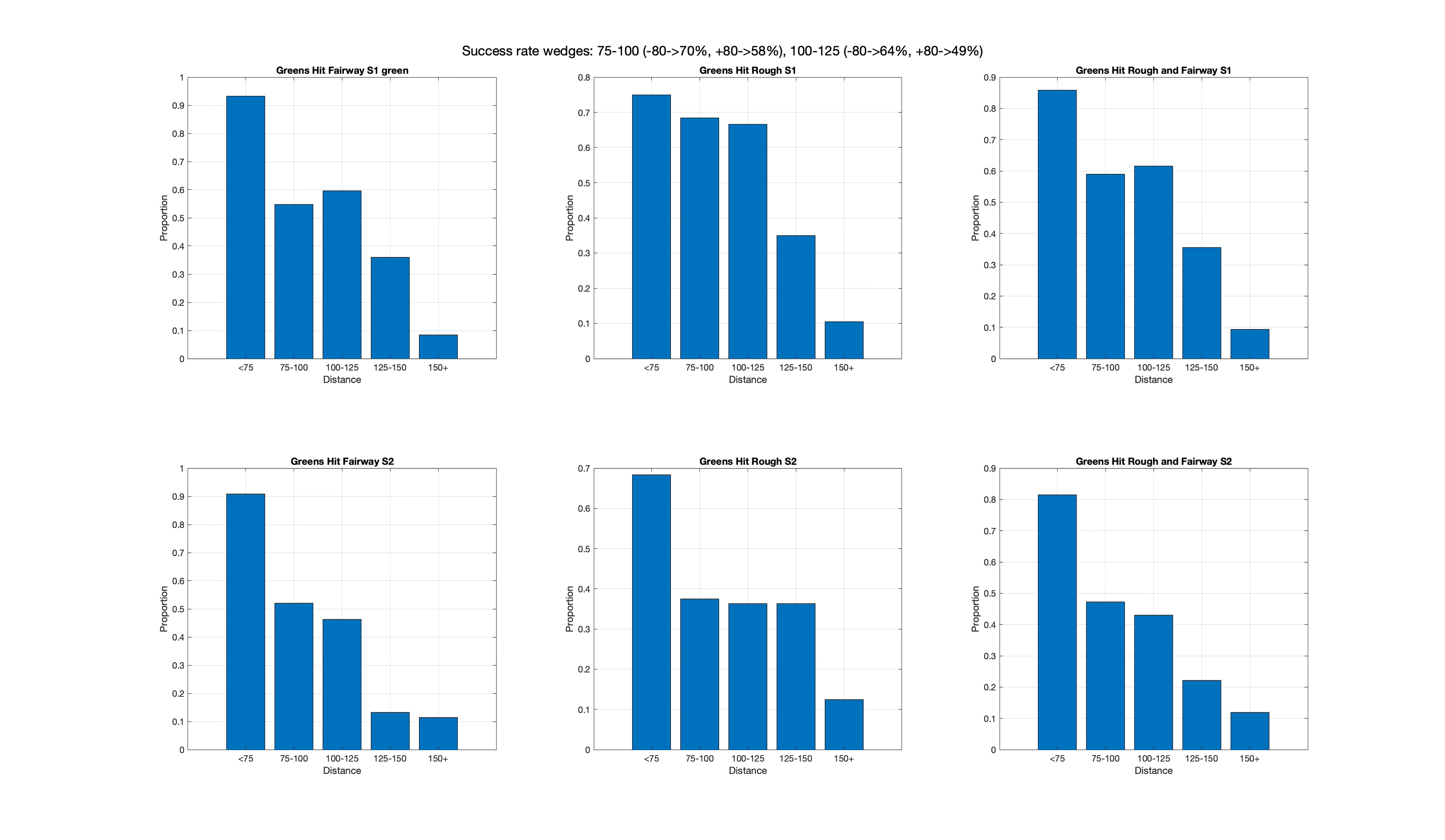
The interesting thing looking at the previous data is that there’s a slight drop in the 100-125 yard bin. There is a reason for this, but to find it the data needs to be viewed slightly differently.
To separate it further I looked at how well I hit greens from different places where I’ve got a realistic chance (fairway and rough). The results make for depressing reading, but do reveal something else… Firstly I’ve got slightly worse at hitting greens, and that needs to improve! Secondly the 100-125 bin shows an interesting spike for the previous season; the reason, hitting chippy pitching wedges as chip and runs from 100-110 that I had a lot of success with for a couple of months. Those shots disappeared this year as I’ll touch on when I break down Hole 11…
The most interring thing is the lack of difference, and even improvement, of performance of fairway in comparison with rough. There really isn’t a sizeable penalty in making sure the ball is in the fairway.
Conclusions
Just one; hit it as far as possible and make sure I can find it in a place where I’ve got an effective next shot. Or more succinctly - read Lou’s tweet again!




